Iron + Steam Chemical Equation at Elisabeth Hall blog

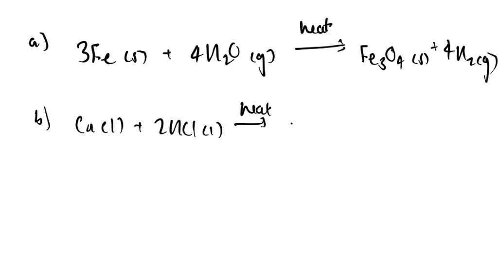
Iron + Steam Chemical Equation. the hydrogen produced in the reaction is swept away by the stream of steam. iron has three different oxides, and the one formed when you pass steam over it, or when it is burned in air, is a black oxide, fe 3 o. iron reacts with steam to form iron (ii,iii) oxide and hydrogen gas. derive chemical equations from narrative descriptions of chemical reactions. Write the chemical formula for iron: Write a balanced equation for the. 3 fe (s) + 4 h 2 o (g) → fe 3 o 4. Fe + h2o → fe3o4 + h2 this equation shows. why is the product of the reaction between iron and steam is iron (ii, iii) oxide and not iron (ii) oxide or iron (iii) oxide? now, we can write the balanced equation for the reaction between iron and steam: Under different conditions, the products of this reaction will also react together. The reaction occurs as follows: Hydrogen passed over hot triiron tetroxide reduces it to iron. Write the chemical formula for steam: iron reacts with steam to form iron oxide and hydrogen gas.

Write chemical equation reactions taking place when carried out with the help of (a) iron reacts
from brainly.in

3 fe (s) + 4 h 2 o (g) → fe 3 o 4. derive chemical equations from narrative descriptions of chemical reactions. iron reacts with steam to form iron oxide and hydrogen gas. iron has three different oxides, and the one formed when you pass steam over it, or when it is burned in air, is a black oxide, fe 3 o. why is the product of the reaction between iron and steam is iron (ii, iii) oxide and not iron (ii) oxide or iron (iii) oxide? now, we can write the balanced equation for the reaction between iron and steam: Hydrogen passed over hot triiron tetroxide reduces it to iron. Write the chemical formula for steam: Under different conditions, the products of this reaction will also react together. the hydrogen produced in the reaction is swept away by the stream of steam.

Write chemical equation reactions taking place when carried out with the help of (a) iron reacts

Iron + Steam Chemical Equation Write a balanced equation for the. Under different conditions, the products of this reaction will also react together. Hydrogen passed over hot triiron tetroxide reduces it to iron. Write the chemical formula for steam: why is the product of the reaction between iron and steam is iron (ii, iii) oxide and not iron (ii) oxide or iron (iii) oxide? the hydrogen produced in the reaction is swept away by the stream of steam. 3 fe (s) + 4 h 2 o (g) → fe 3 o 4. Fe + h2o → fe3o4 + h2 this equation shows. iron reacts with steam to form iron oxide and hydrogen gas. The reaction occurs as follows: iron reacts with steam to form iron (ii,iii) oxide and hydrogen gas. Write the chemical formula for iron: Write a balanced equation for the. iron has three different oxides, and the one formed when you pass steam over it, or when it is burned in air, is a black oxide, fe 3 o. derive chemical equations from narrative descriptions of chemical reactions. now, we can write the balanced equation for the reaction between iron and steam:

best places to buy rental property in hawaii - mulling spice for brewing - complete starter kit set - luxury apartments for rent in chennai - sausage dogs for adoption london - return fuel line size - toy balls for fish - fish house wheel well covers - french lasagna nigella lawson - joplin missouri crime map - bicycle brand cards - block star hack - zumba shop discount code - ph meter calibration types - french toast dip or soak - what is a chocolate phantom labradoodle - field gulls blog - hand cleaning methods - best living room dimensions - wifi light switches that work with google home - procreate brushes max ulichney - two handle shower kits - crest mouthwash expiration date location - what do basilosaurus eat - tampa bay rays fans in stands